
从女性视角审视封建历史的VR剧本杀游戏,
身临其境体验江永女书的历史。
阁楼密信 Letters in the Attic
团队
我、蒋雨欣、陈冠尹
角 色
团队leader、内容策划、VR开发
时间
2024.05 -08
工具
Unity、Oculus Quest 2、Midjourney、chatGPT、Adobe Premier、Pano2VR
问题发掘
百年前的湖南省少数民族聚居山区,孕育了一种只由女性书写的文字——女书。
它在女性群体间代代相传,但因战火和社会改革的影响逐渐消失在现代文明的进程中。直到近几年中国女性意识的崛起,才有越来越多的人注意到这份文化遗产。大批艺术家和内容传播者为女书创作影音图像以向大众介绍女书及其文化精神。
然而,现有作品内容很少接触到女书历史面貌,亦无法在当时的时代背景下原汁原味地重现女书使用环境。
项目目标
在发现女书内容的缺口后,我们团队决定制作一部VR RPG游戏,让玩家扮演女书使用者,以第一人称视角与被封建制度压迫的女性建立情感连接,还原女书被创造的历史原因。
目标用户
本项目主要面向中国有VR设备使用经验的游戏玩家。
设计过程
叙事设计
为了挑战传统VR影片的线性叙事,我们参考了游戏的“多结局”结构和沉浸式戏剧的演绎风格,设计了一条非线性故事线,给予玩家对于故事情节的“决策权”。
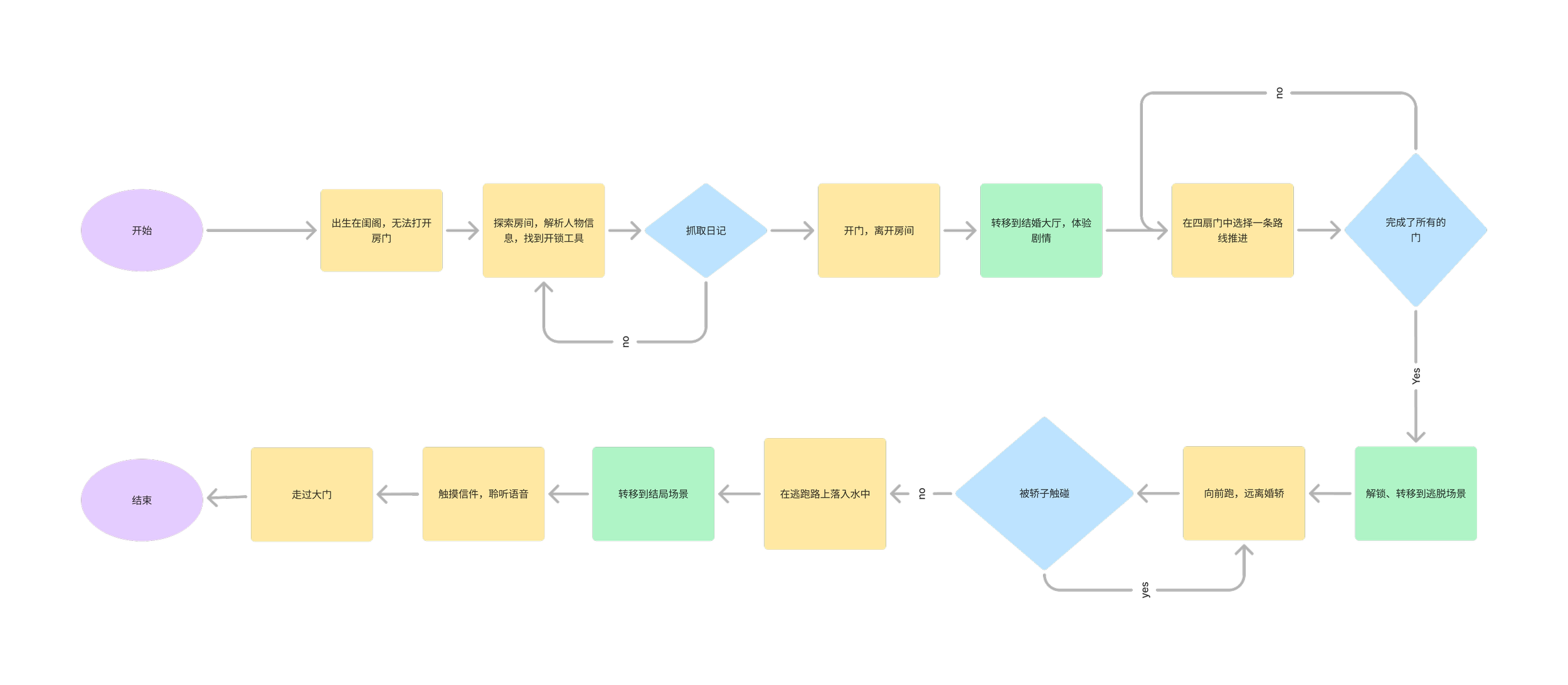
在深入调研了江永地区的历史文化后,我们设计出“逃婚”的剧情:玩家作为一名重生回婚礼当日的准新娘,需要解开自己的身世之谜并尝试逃离婚礼。选择一扇扇“门”,玩家将体验不同角色的故事,深入了解时代环境对主人公家庭的影响。
美术创新
我们在美术风格上大胆尝试了全2D sprite。通过拆分绘制立体物品再拼接、用插片“伪造”3D效果、在sprite上绑定facing camera脚本,打造带透视的“2.5D”场景。这使团队更容易掌控美术风格的统一性,也利于修改。
故事板
在故事板绘制阶段,我们同时对场景搭建、特效、环境音效和交互行为做出初步构思,以辅助后续代码脚本的编写。
玩家将从人物对话和物品信息两方面了解剧情故事。
考虑到设计解谜机制会增加推进难度,我们将物品互动和剧情分离,让玩家可以在聆听语音的同时探索空间。
游戏流程
场景设计
团队和画师沟通了每个场景的目标氛围和情绪。整体设计大量参考中式美学插画,房间内部陈设考据了明清时期的民居资料。
“我”的闺阁
婚礼大厅与众宾客
厨房和外婆
父母卧房
儿时的姑婆庙
长大后的姑婆庙
逃离大宅
当“我”死后
通向未知的门
由于网上缺少女书的音频资料,团队特意联系到女书非遗传承人——胡欣,请她演唱并录制传统女书歌曲。胡欣老师也提供了非常宝贵的文化复原视频供我们使用。
音频录制
我们与浙江传媒学院播音系学生深度合作,为人物角色进行配音。也有幸与中央音乐学院作曲戏学生合作,一同创作主题音乐。
制作迭代
sprite制作
成员首先将平面素材导入Unity进行sprite切分,根据需求拼接子物品或者进一步制作绑骨动画。
VR搭建
调整过shader的sprite/物品会被制作成prefab以进行模块化搭建。我们在灰盒的基础上用prefab替换了所有的方块,并加入音频、特效和光线。
用户测试
我们邀请了20位中外体验者试玩本项目。
其中,中国体验者对本项目的文化语境有着超高的敏锐度,即便他们不了解女书,但也能很快从环境中提取关键信息。相反,西方国家的体验者因不熟悉中国婚嫁文化,他们表现出对于人物更少的理解力和同情心。
但是他们共同反应了交互设计上的一处薄弱点:
“缺少奖励机制,感觉自己对剧情推进没有影响力,后期感到疲惫。”
设计迭代
重新梳理剧情后,我们在几处对话中间加入了交互触发语音的机制,并且添加明显的视觉向导引导玩家发现关键物品,做出相应行为。
反思
当脱出制作身份重新审视设计流程,会发现分离交互和剧情不仅没能帮助玩家深度参与故事,甚至造成了无效交互。
由于学院制度的限制,这部VR没能完整呈现最初构思的“多结局”和“随机感”,许多大胆的想法没能实现。在未来更新中,我们团队会重启最初方案,打造多结局剧本杀推理游戏、让玩家完全参与到故事推进中、并设计出有意义的交互行为。